(2)此图表示细胞与周围环境之间的关系,其中毛细血管管壁细胞生活的具体内环境 是
(3)如果该图为肝脏组织局部结构模式图,那么在饥饿状态下,B 端与 A 端液体相比,明显增加的物质是_________。
(4)维持内环境渗透压的 Na+、氨基酸等物质进入内环境要经过____等系统(写出两个)
(5)血浆、组织液和淋巴三者之间既有密切关系,又有一定区别。一般情况下,②与③成分上的主要区别是_____。

(2)请写出从外界环境摄入葡萄糖进入组织细胞的具体途径:外界环境→_______→组织细胞(用图中的序号、字母加箭头表示)。
(5)内环境相对稳定,除了图中所示的器官、系统的协调活动外,还必须在_______的调节网络下进行。
(6)人体维持稳态的调节能力有限,当自身调节功能出现障碍或者_______,内环境的稳态就会遭到破坏。您最近一年使用:0次2024/10/20134 (0.85)名校解题方法【推荐2】下图表示人体内环境的稳态与各系统功能的联系,图中A、B、C代表人体系统,①、②代表物质。请据图回答:

(2)内环境中,血浆与组织液、淋巴在成分含量上最主要的差别是_____。内环境中,_____是体内绝大多数细胞直接生活的环境。
(3)正常情况下,内环境的各种化学成分和_____会保持相对稳定。当_______或人体自身的调节功能出现障碍时,内环境稳态会被破坏。目前认为,机体维持稳态的主要调节机制是_______调节网络,该调节网络中所涉及的主要信息分子依次为_______、_______、细胞因子等。您最近一年使用:0次2025/10/2153 (0.85)名校解题方法【推荐3】图甲表示人体中部分体液A、B、C、D之间的关系,图乙是细胞与外界环境进行物质交换的示意图,其中①②③表示人体三种系统。回答下列问题:

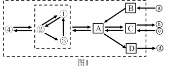
(2)图乙中,属于消化系统的是____(填序号),属于泌尿系统的是____(填序号)。机体内环境的相对稳定,主要依靠____调节网络来维持。

(3)细胞呼吸终产物中的气体可进入内环境,并通过循环系统运输到_______系统被排出体外。若该气体的排出途径出现障碍,则会引起内环境的pH______。若要检测图1中b处的pH,其参考范围为_________,b处pH之所以能够保持稳定,与其含有_______等离子有关。您最近一年使用:0次2019/12/3086 (0.85)名校解题方法【推荐2】如图为人米乐M6 m6米乐体某些生理活动的过程示意图,A、B、C、D、E、F为液体,①②为物质,请据图回答下列问题:

(3)人体脑部受到严重外伤时,毛细血管壁通透性增强,引起脑脊液渗透压____,进而引起脑组织水肿。
(4)CO2浓度最高的部位为图中的____(填字母)。尝试构建人体肝脏内血浆、组织液、成熟红细胞内液间CO2、O2扩散的模型___________(注:在图形框间用实线,用虚线进入成熟红细胞内液)。


(填数字代号)。(3)内环境的理化性质主要包括温度、__________和_______
。(4)在一些病理条件下,血浆、组织液和淋巴三者的量都可能发生改变。请举出由于病理引起③增多的实例:___________(至少2个)(5)人体的下列生理过程中,发生在内环境中的是
________。(多选)①神经递质作用于突触后膜②tRNA转运氨基酸③记忆细胞增殖分化成浆细胞④肝糖原水解为葡萄糖⑤乳酸与酸碱缓冲物质发生中和反应⑥血浆蛋白的合成

。红细胞所携带的氧气至少需要经过_______层磷脂分子才能被组织细胞利用。(3)当B液渗透压发生变化时,D液的渗透压_______(填“会”或“不会”)发生变化。(4)长时间剧烈运动机体会产生乳酸,但不会引起血浆pH明显下降,原因是

。(4)该胰腺组织能产生胰蛋白酶和胰岛素,这两种物质___________不可以进入血浆。物质进出细胞的方式有多种,O2
从组织液进入组织细胞的方式是_________;红细胞所携带的O2至少需要经过______层磷脂分子才能被组织细胞利用。(5)若某人长期营养不良,血浆中蛋白质含量降低,会引起图中_______(填字母)增多,其结果是将会引起________________
。除营养不良外_______________也会引起相同的结果(至少答出2种,)。(6)图中,a表示呼吸系统,c表示_______和皮肤。
您最近一年使用:0次2022/10/20223 (0.85)名校解题方法【推荐3】人体内环境是人体与外界环境进行物质交换的媒介,下图1是人体内环境示意图,下图2表示高等动物体内细胞与外界进行物质交换请根据图回答下列问题:(1)人体内环境主要包括___

的含量有关。(3)④中的化学组成中有___等物质,它们对于维持pH的稳定有重要意义,人体内环境稳态主要的调节机制是___
组卷网拥有组卷网、组卷米乐M6 m6米乐商标,若您发现其他网站违规使用,欢迎您向我们举报

